闽南网4月13日讯(闽南网记者 苏毓茹)闽南网记者从泉州市住建局获悉,2026年第一批面向中心市区公租房轮候家庭选房分配已于近日完成,选房后剩余房源转入常态化房源池实行常态化配租。
本次共有50套房源转入常态化房源池,分别为一房型35套、二房型15套,涵盖江南雅园、高科雅园、华星安置小区、见龙亭小区祺龙苑等,以及市级投资项目剩余房源(结合货币化补贴)见龙亭小区祥龙苑及祺龙苑、毓才花苑等。


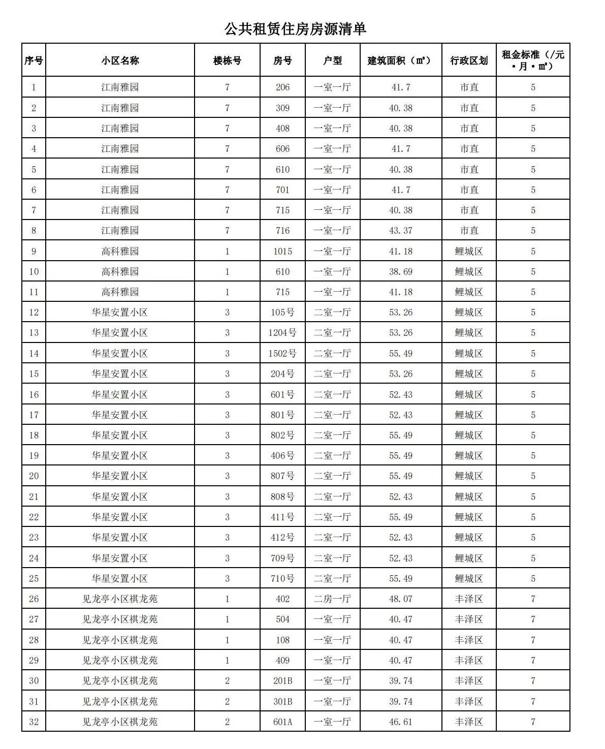
房源明细
12个月内通过公租房资格审核或复核的轮候家庭可进入“闽政通App”—“本地”—“智慧住建”—“住房保障信息管理系统”—“公租房板块”—“常态化选房”栏目线上选房。
未取得公租房保障资格的住房困难家庭可通过“福建省网上办事大厅”或“公租房App”提出申请,详细流程可登录泉州市住房和城乡建设局官网,通过“行业管理”—“保障性住房”—“公租房申请渠道”进行查看。
按规定完成公租房申请注册(包括账号注册、信息填报及相关材料上传等)后,申请人应携带有关证明材料到所辖街道办事处申请受理,如有疑问可咨询各区住建行政主管部门。