注册
闽南网 > 新闻中心 > 国内新闻 > 正文

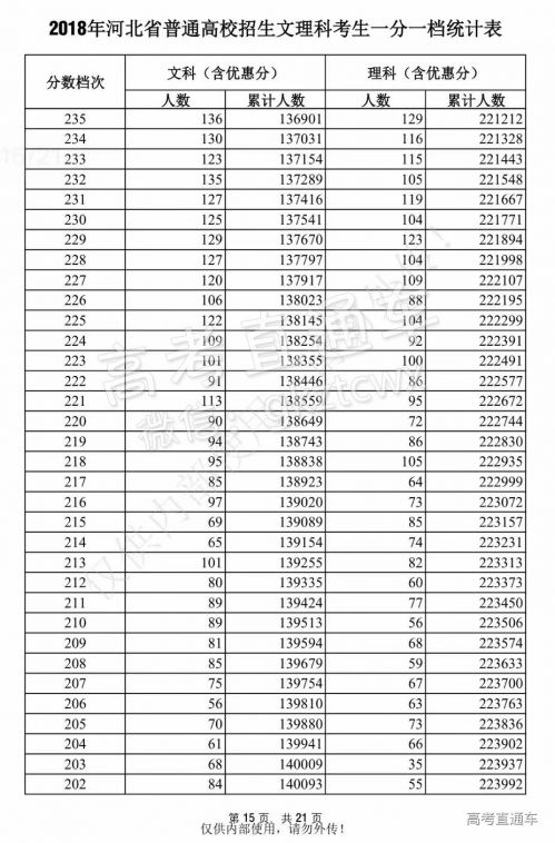
2018河北高考一分一段表 文科理科个人成绩分数排名查询

来源:高考直通车 2018-06-23 10:23 http://www.mnw.cn/

河北高考一分一段统计表8

河北高考一分一段统计表8

河北高考一分一段统计表9

河北高考一分一段统计表9

河北高考一分一段统计表10

河北高考一分一段统计表10

河北高考一分一段统计表11

河北高考一分一段统计表11

河北高考一分一段统计表12

河北高考一分一段统计表12

河北高考一分一段统计表13

河北高考一分一段统计表13

河北高考一分一段统计表14

河北高考一分一段统计表14

相关阅读:
新闻 娱乐 福建 泉州 漳州 厦门
猜你喜欢:
热门评论:
频道推荐
  • 2026年福建省文旅经济发展大会 | 盛会启幕
  • 黎以双方同意14日在美讨论停火
  • 特朗普:与伊朗的会谈结果将在24小时内明朗
  • 新闻推荐
    @所有人 多项民生礼包加速落地快来查收 三峡大坝变形?专家:又有人在恶意炒作 北京新一波疫情为什么没出现死亡病例? 戴口罩、一米线 疫情改变了哪些习惯? 呼伦贝尔现幻日奇观 彩虹光带环绕太阳
    视觉焦点
    石狮:秋风起,紫菜香 石狮:秋风起,紫菜香
    石狮环湾生态公园内粉黛乱子草盛放 石狮环湾生态公园内粉黛乱子草盛放
    精彩视频
    寻迹百年天一 读懂时光里等待的浪漫#漳州 #2026年福建省文旅经济发展大会
    寻迹百年天一 读懂时光里等待的浪漫#漳州 #2026年福建省文旅经济发展大会
    看闽超,享口福!福建新一轮餐饮消费券来了
    看闽超,享口福!福建新一轮餐饮消费券来了
    专题推荐
    关注泉城养老服务 打造幸福老年生活
    关注泉城养老服务 打造幸福老年生活

    闽南网推出专题报道,以图、文、视频等形式,展现泉州在补齐养老事业短板,提升养老服

    新征程,再出发——聚焦2021年全国两会
    2020福建高考招录
     
    48小时点击排行榜
    山水入瓷韵 美味遇匠心——德化白瓷亮相2 今晚集合!古城复古音乐派对+闽南串串烧 来华安别只逛“世遗”土楼了~快来解锁B 龙江岁月 | 获评国家AAA级旅游景区!!! 2026年福建省文旅经济发展大会丨推开“北 漳州长泰的两岸 “朋友圈” 德化杨梅:多维发力守护“夕阳红” “给龙文一个机会,还大家一片精彩!”20